找回密码
 立即注册

QQ登录

只需一步,快速开始

搜索

[质量] 关于依据JJG99-2006检定砝码折算质量时衡量仪器分辨力问题

[复制链接]
jeff81 发表于 2010-1-19 10:07:04 | 显示全部楼层 |阅读模式

大家好!在JJG99-200626页第二段写到在检定E等级和F等级砝码时,如果使用的是机械式衡量仪器,则需要实测该衡量仪器的分度值。下面又提到在测量过程中如果需要确定衡量仪器的分辨力......”,在双次替代法中需使用灵敏度砝码进行测量。这两点说的是一回事吗?


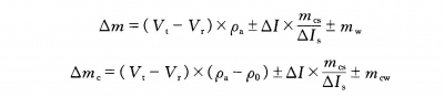
如果是,使用电子天平作为衡量仪器的话是否就可以不确定它的分辨力?而对于P27上的质量差值和折算质量差值的公式(如下),是否就没有第二、三项了?不确定度评定时,衡量仪器灵敏度不确定度分量是否也就没有了?我刚接触这个规程,有很多地方不是很清楚,请各位高手指点,谢谢!


JJG 99-2006 砝码 质量和折算质量差公式.JPG
流连 发表于 2010-1-19 10:20:42 | 显示全部楼层
机械式衡量仪器分度值是变化的,所以检定E 等级和F 等级砝码时需要实测该衡量仪器的分度值。
回复 支持 反对

使用道具 举报

您需要登录后才可以回帖 登录 | 立即注册

本版积分规则

Archiver|手机版|小黑屋|计量论坛 ( 闽ICP备06005787号-1|闽公网安备35020602000072号 )
电话:0592-5613810 QQ:473647 微信:gfjlbbs 原国防计量论坛(-=始于2005年=-)

GMT+8, 2026-4-10 01:08

Powered by Discuz! X3.5

© 2001-2026 Discuz! Team.

快速回复 返回顶部 返回列表